Chapter 8: Tropical Cyclones

8.2 Three-Dimensional Structure and Flow Balances »
8.2.3 Mass Balance Solutions and Scaling Considerations »
8.2.3.3 The Thermal Wind

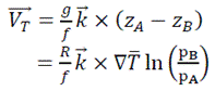
A symmetric tropical cyclone is in approximate thermal wind balance. The thermal wind is defined as the difference between the geostrophic wind at two vertical levels

thermal wind equation based on geostrophic wind        (4)

where pA and pB are the pressures “above” and “below” so that pA < pB. Thus, the thermal wind represents the vertical wind shear of the geostrophic wind. For geostrophic flow, the thermal wind balance is written as

Thermal wind balance     (5)

where pA and pB bound the layer in which the mean temperature gradient, Thermal wind balance, is calculated and zA and zB are the physical heights of these pressure layers. Therefore, by using the horizontal temperature gradient at the level of the warm core and the surface wind structure, we can infer the three–dimensional symmetric wind field of the cyclone.

We can deduce the change of the winds with height using the thermal wind. For a tropical cyclone, the winds are strongest at the surface and decrease with height; from Equation (5) we can show that this corresponds to a warm temperature anomaly associated with the storm and that this anomaly is maximum in the upper troposphere. As a result, tropical cyclones may be referred to as "warm–cored." Conversely, a midlatitude storm has its strongest winds aloft (typically near the tropopause); using Equation (5) again, these systems can be shown to be "cold–cored" in the upper troposphere.

The Cyclone Phase Space (CPS)35 is a diagnostic that utilizes the thermal wind to document the structure of meso-synoptic cyclones concisely. CPS diagnostics are used to distinguish different phases of the development in the lifecycle of a tropical cyclone, for example, the onset and completion of the transitions from subtropical to tropical cyclones23 and from tropical to extratropical cyclones36 (Section 8.5).

1. Hatada, T., 1965: The Mongol Invasions. Chuokoron Sha, 182 pp.
2. Yanai, M., 1975: English translation of the letter by the Khubilai Khan to the Japanese emperor in 1266.
3. Reiss, W. C., 2001: Angel Gabriel: The Elusive English Galleon, its History and the Search for its Remains. 1797 House, 117 pp.
4. Piddington, H., 1848: The Sailor’s Horn Book for the Law of Storms. Smith, Elder and Co., 305 pp.
5. Simpson, R. H., 1974: The hurricane disaster potential scale. Weatherwise, 27, 169-186.
6. NOAA NWS National Hurricane Center, 2010: The Saffir-Simpson Hurricane Wind Scale Summary Table. [Available online at http://www.nhc.noaa.gov/sshws_table.shtml?large]].
7. Neumann, C. J., 1999: Tropical cyclones of the north Atlantic ocean, 1871-1998. National Oceanic and Atmospheric Administration, 193.
8. Holland, G. J., Ed., 1993: The global guide to tropical cyclone forecasting Vol. WMO/TD-560, World Meteorological Organization, 342 pp.
9. Frank, W. M., 1977: The structure and energetics of the tropical cyclone I. Storm structure. Mon. Wea. Rev., 105, 1119-1135.
10. Kepert, J., 2001: The dynamics of boundary layer jets within the tropical cyclone core. Part I: Linear theory. J. Atmos. Sci., 58, 2469-2484.
11. Willoughby, H. E., 1990: Gradient balance in tropical cyclones. J. Atmos. Sci., 47, 265-274.
12. Franklin, J. L., M. L. Black, and K. Valde, 2003: GPS dropwindsonde wind profiles in hurricanes and their operational implications. Wea. Forecasting, 18, 32-44.
13. Cione, J. J., P. G. Black, and S. H. Houston, 2000: Surface observations in the hurricane environment. Mon. Wea. Rev., 128, 1550-1561.
14. Wroe, D. R., G. M. Barnes, 2003: Inflow layer energetic of Hurricane Bonnie (1998) near landfall. Mon. Wea. Rev., 131, 1600-1612.
15. McBride, J. L., T. D. Keenan, 1982: Climatology of tropical cyclone genesis in the Australian region. Int. J. Climatol., 2, 13-33.
16. Simpson, J., E. Ritchie, G. J. Holland, J. Halverson, and S. Stewart, 1997: Mesoscale interactions in tropical cyclone genesis. Mon. Wea. Rev., 125, 2643-2661.
17. Dickinson, M., J. Molinari, 2002: Mixed rossby–gravity waves and western Pacific tropical cyclogenesis. Part I: Synoptic Evolution. J. Atmos. Sci., 59, 2183-2196.
18. Schubert, W. H., P. E. Ciesielski, D. E. Stevens, and H. C. Kuo, 1991: Potential vorticity modeling of the ITCZ and the Hadley Circulation. J. Atmos. Sci., 48, 1493-1509.
19. Ferreira, R. N., W. H. Schubert, 1997: Barotropic aspects of ITCZ breakdown. J. Atmos. Sci., 54, 261-285.
20. Zehnder, J. A., A., D. M. Powell, and D. L. Ropp, 1999: The interaction of easterly waves, orography, and the intertropical convergence zone in the genesis of eastern Pacific tropical cyclones. Mon. Wea. Rev., 127, 1566-1585.
21. Zehnder, J. A., 1991: The interaction of planetary-scale tropical easterly waves with topography: A mechanism for the initiation of tropical cyclones. J. Atmos. Sci., 48, 1217-1230.
22. Frank, N. L., 1969: The "Inverted V” cloud pattern — An easterly wave? Mon. Wea. Rev., 97, 130-140.
23. Guishard, M. P., J. L. Evans, and R. E. Hart, 2009: Atlantic subtropical storms. Part II: Climatology. J. Climate 22, 3574-3594.
24. Pfeffer, R. L., M. Challa, 1992: The role of environmental asymmetries in Atlantic hurricane formation. J. Atmos. Sci., 49, 1051-1059.
25. Challa, M., R. L. Pfeffer, Q. Zhao, and S. W. Chang, 1998: Can eddy fluxes serve as a catalyst for hurricane and typhoon formation? J. Atmos. Sci., 55, 2201-2219.
26. Reasor, P. D., M. T. Montgomery, and L. D. Grasso, 2004: A new look at the problem of tropical cyclones in vertical shear flow: Vortex resiliency. J. Atmos. Sci., 61, 3-22.
27. Dunnavan, G. M., J. W. Diercks, 1980: An analysis of Super Typhoon Tip (October 1979). Mon. Wea. Rev., 108, 1915-1923.
28. Eliassen, A., 1951: Slow thermally or frictionally controlled meridional circulation in a circular vortex. Astrophisica Norvegica, v.5, 19.
29. Sundqvist, H., 1970: Numerical simulation of the development of tropical cyclones with a ten-level model. Part I. Tellus, 22, 359.
30. Sundqvist, H., 1970: Numerical simulation of the development of tropical cyclones with a ten-level model. Part II. Tellus, 22, 504.
31. Carrier, G. F., A. L. Hammond, and O. D. George, 1971: A model of the mature hurricane. J. Fluid Mechanics Digital Archive, 47, 145-170.
32. Zhu, H., R. K. Smith, and W. Ulrich, 2001: A minimal three-dimensional tropical cyclone model. J. Atmos. Sci., 58, 1924-1944.
33. Holland, G. J., R. T. Merrill, 1984: On the dynamics of tropical cyclone structural changes. Quart. J. Roy. Meteor. Soc., 110, 723-745.
34. Shapiro, L. J., H. E. Willoughby, 1982: The response of balanced hurricanes to local sources of heat and momentum. J. Atmos. Sci., 39, 378-394.
35. Hart, R. E., 2003: A cyclone phase space derived from thermal wind and thermal asymmetry. Mon. Wea. Rev., 131, 585-616.
36. Evans, J. L., and R. E. Hart, 2003: Objective indicators of the life cycle evolution of extratropical transition for Atlantic tropical cyclones. Mon. Wea. Rev., 131, 909-925.
37. Tuleya, R. E., Y. Kurihara, 1978: A numerical simulation of the landfall of tropical cyclones. J. Atmos. Sci., 35, 242-257.
38. Corbosiero, K. L., J. Molinari, 2002: The effects of vertical wind shear on the distribution of convection in tropical cyclones. Mon. Wea. Rev., 130, 2110-2123.
39. Gill, A. E., 1982: Atmosphere-ocean dynamics. Academic Press, 662.
40. Bland, S. H., E. S. O'Leary, E. Farinaro, F. Jossa, and M. Trevisan, 1996: Long-term psychological effects of natural disasters. Psychosom. Med., 58, 18–24.
41. Gray, W. M., 1968: Global view of the origin of tropical disturbances and storms. Mon. Wea. Rev., 96, 669-700.
42. McBride, J. L., R. Zehr, 1981: Observational analysis of tropical cyclone formation. Part II: Comparison of non-developing versus developing systems. J. Atmos. Sci., 38, 1132-1151.
43. Chang, C. -., H. C. Kuo, and C. H. Liu, 2003: Typhoon Vamei: An equatorial tropical cyclone formation. Geophys. Res. Lett., 50, 1–4.
44. Briegel, L. M., W. M. Frank, 1997: Large-scale influences on tropical cyclogenesis in the western North Pacific. Mon. Wea. Rev., 125, 1397-1413.
45. Lander, M. A., 1994: Description of a monsoon gyre and its effects on the tropical cyclones in the western North Pacific during August 1991. Wea. Forecasting, 9, 640-654.
46. Ritchie, E. A., G. J. Holland, 1999: Large-scale patterns associated with tropical cyclogenesis in the Western Pacific. Mon. Wea. Rev., 127, 2027-2043.
47. Nitta, T., 1989: Development of a twin cyclone and westerly bursts during the initial phase of the 1986-87 El Niño. J. Meteor. Soc. Japan, 67, 677-681.
48. Gill, A. E., 1980: Some simple solutions for heat-induced tropical circulation. Quart. J. Roy. Meteor. Soc, 106, 447-462.
49. Kiladis, G. N., M. Wheeler, 1995: Horizontal and vertical structure of observed tropospheric equatorial Rossby waves. J. Geophys. Res., 100, 22981-22998.
50. Frank, W. M., P. E. Roundy, 2006: The role of tropical waves in tropical cyclogenesis. Mon. Wea. Rev., 134, 2397-2417.
51. Ekman, V. W., 1905: On the influence of the Earth's rotation on ocean currents. Arkiv for Matematik. Astronomi och Fysik, 2, 1-53.
52. Ooyama, K. V., 1963: Hurricane development. Proc. Technical Conference on Hurricanes and Tropical Meteorology, Mexico, 6-12 June, 1963.
53. Charney, J. G., A. Eliassen, 1964: On the growth of the hurricane depression. J. Atmos. Sci., 21, 68-75.
54. Fraedrich, K., J. L. McBride, 1989: The physical mechanism of CISK and the free-ride balance. J. Atmos. Sci., 46, 2642-2648.
55. Tomas, R. A., P. J. Webster, 1997: The role of inertial instability in determining the location and strength of near-equatorial convection. Quart. J. Roy. Meteor. Soc., 123, 1445-1482
56. Molinari, J., D. Knight, M. Dickinson, D. Vollaro, and S. Skubis, 1997: Potential vorticity, easterly waves, and eastern Pacific tropical cyclogenesis. Mon. Wea. Rev., 125, 2699-2708.
57. Zehnder, J. A., R. L. Gall, 1991: On a mechanism for orographic triggering of tropical cyclones in the Eastern North Pacific. Tellus A, 43, 25.
58. Charney, J., M. E. Stern, 1962: On the stability of internal baroclinic jets in a rotating atmosphere. J. Atmos. Sci., 19, 113-126.
59. Sadler, J. C., 1976: A role of the tropical upper tropospheric trough in early season typhoon development. Mon. Wea Rev., 104, 1266-1278.
60. Sadler, J. C., 1978: Mid-season typhoon development and intensity changes and the tropical upper tropospheric trough. Mon. Wea. Rev., 106, 1137-1152.
61. Harr, P. A., M. S. Kalafsky, and R. L. Elsberry, 1996: Environmental conditions prior to formation of a midget tropical cyclone during TCM-93. Mon. Wea. Rev., 124, 1693-1710.
62. Hebert, P. H., K. O. Poteat, 1975: A satellite classification technique for subtropical cyclones. NWS SR-83, 25.
63. Dickinson, M., J. Molinari, 2000: Climatology of sign reversals of the meridional potential vorticity gradient over Africa and Australia. Mon. Wea. Rev., 128, 3890-3900.
64. Reed, R. J., D. C. Norquist, and E. E. Recker, 1977: The structure and properties of African wave disturbances as observed during phase III of GATE. Mon. Wea. Rev., 105, 317-333.
65. Gray, W. M., C. W. Landsea, Mielke Jr, P. W., and K. J. Berry, 1992: Predicting Atlantic seasonal hurricane activity 6-11 months in advance. Wea. Forecasting, 7, 440-455.
66. Simpson, J., J. B. Halverson, B. S. Ferrier, W. A. Petersen, R. H. Simpson, R. Blakeslee, and S. L. Durden, 1998: On the role of “hot towers” in tropical cyclone formation. Meteor. Atmos. Phys., 67, 15-35.
67. Bister, M., K. A. Emanuel, 1997: The genesis of Hurricane Guillermo: TEXMEX analyses and a modeling study. Mon. Wea. Rev., 125, 2662-2682.
68. Thorncroft, C. D., B. J. Hoskins, and M. E. McIntyre, 1993: Two paradigms of baroclinic-wave life-cycle behaviour. Quart. J. Roy. Meteor. Soc., 119, 17-55.
69. Guishard, M. P., 2006: Atlantic subtropical storms: climatology and characteristics. PhD Thesis, Department of Meteorology, Pennsylvania State University, 158 pp .
70. Emanuel, K. A., 1995: Sensitivity of tropical cyclones to surface exchange coefficients and a revised steady-state model incorporating eye dynamics. J. Atmos. Sci., 52, 3969-3976.
71. Zehr, R. M., 1992: Tropical cyclogenesis in the western North Pacific. NESDIS 61, NOAA Tech. Rep, 181 pp.
72. Bosart, L. F., J. A. Bartlo, 1991: Tropical storm formation in a baroclinic environment. Mon. Wea. Rev., 119, 1979-2013.
73. Davis, C., L. F. Bosart, 2002: Numerical simulations of the genesis of Hurricane Diana (1984). Part II: Sensitivity of track and intensity prediction. Mon. Wea. Rev., 130, 1100-1124.
74. Ferreira, R. N., W. H. Schubert, 1999: The role of tropical cyclones in the formation of tropical upper-tropospheric troughs. J. Atmos. Sci., 56, 2891-2907.
75. Jones, S. C., 1995: The evolution of vortices in vertical shear. I: Initially barotropic vortices. Quart. J. Roy. Meteor. Soc., 121, 821-851.
76. Schecter, D. A., M. T. Montgomery, and P. D. Reasor, 2002: A theory for the vertical alignment of a quasigeostrophic vortex. J. Atmos. Sci., 59, 150-168.
77. Jones, S. C., 2004: On the ability of dry tropical-cyclone-like vortices to withstand vertical shear. J. Atmos. Sci., 61, 114-119.
78. Möller, J. D., S. C. Jones, 1998: Potential vorticity inversion for tropical cyclones using the asymmetric balance theory. J. Atmos. Sci., 55, 259-282.
79. Elsberry, R. L., R. A. Jeffries, 1996: Vertical wind shear influences on tropical cyclone formation and intensification during TCM-92 and TCM-93. Mon. Wea. Rev., 124, 1374-1387.
80. Molinari, J., D. Vollaro, and K. L. Corbosiero, 2004: Tropical cyclone formation in a sheared environment: A case study. J. Atmos. Sci., 61, 2493-2509.
81. Kimball, S. K., J. L. Evans, 2002: Idealized numerical simulations of hurricane–trough interaction. Mon. Wea. Rev., 130, 2210-2227.
82. Bister, M., 2001: Effect of peripheral convection on tropical cyclone formation. J. Atmos. Sci., 58, 3463-3476.
83. Willoughby, H. E., J. A. Clos, and M. G. Shoreibah, 1982: Concentric eye walls, secondary wind maxima, and the evolution of the hurricane vortex. J. Atmos. Sci., 39, 395-411.
84. Madden, R. A., P. R. Julian, 1971: Detection of a 40-50 day oscillation in the zonal wind in the tropical Pacific. J. Atmos. Sci., 28, 702-708.
85. Madden, R. A., P. R. Julian, 1972: Description of global-scale circulation cells in the tropics with a 40-50 day period. J. Atmos. Sci., 29, 1109-1123.
86. Palmén, E., 1948: On the formation and structure of tropical cyclones. Geophysica, 3, 26–38.
87. Miller, B. I., 1958: On the maximum intensity of hurricanes. J. Atmos. Sci., 15, 184-195.
88. Merrill, R. T., 1988: Environmental influences on hurricane intensification. J. Atmos. Sci., 45, 1678-1687.
89. Emanuel, K. A., 1986: An air-sea interaction theory for tropical cyclones. Part I: Steady-state maintenance. J. Atmos. Sci., 43, 585-605.
90. Emanuel, K. A., 1988: The maximum intensity of hurricanes. J. Atmos. Sci., 45, 1143-1155.
91. Hart, R. E., R. N. Maue, and Watson, M. l. C., 2007: Estimating local memory of tropical cyclones through MPI anomaly evolution. Mon. Wea. Rev., 135, 3990-4005.
92. Evans, J. L., 1993: Sensitivity of tropical cyclone intensity to sea surface temperature. J. Climate, 6, 1133-1140.
93. Frank, W. M., E. A. Ritchie, 1999: Effects of environmental flow upon tropical cyclone structure. Mon. Wea. Rev., 127, 2044-2061.
94. Frank, W. M., E. A. Ritchie, 2001: Effects of vertical wind shear on the intensity and structure of numerically simulated hurricanes. Mon. Wea. Rev., 129, 2249-2269.
95. Katsaros, K. B., P. W. Vachon, W. T. Liu, and P. G. Black, 2002: Microwave remote sensing of tropical cyclones from space. J. Oceanogr., 58, 137-151.
96. Evans, J. L., K. McKinley, 1998: Relative timing of tropical storm lifetime maximum intensity and track recurvature. Meteor. Atmos. Phys., 65, 241-245.
97. Riehl, H., 1972: Intensity of recurved typhoons. J. Appl. Meteorol., 11, 613-615.
98. Jones, S. C., 2000: The evolution of vortices in vertical shear. III: Baroclinic vortices. Quart. J. Roy. Meteor. Soc., 126, 3161-3186.
99. Merrill, R. T., 1984: A comparison of large and small tropical cyclones. Mon. Wea. Rev., 112, 1408-1418.
100. Möller, J. D., M. T. Montgomery, 2000: Tropical cyclone evolution via potential vorticity anomalies in a three-dimensional balance model. J. Atmos. Sci., 57, 3366-3387.
101. Wang, Y., C. C. Wu, 2004: Current understanding of tropical cyclone structure and intensity changes–a review. Meteor. Atmos. Phys, 87, 257-278.
102. Zeng, Z., Y. Wang, and C. C. Wu, 2007: Environmental dynamical control of tropical cyclone intensity – An observational study. Mon. Wea. Rev., 135, 38–59.
103. Dvorak, V. F., 1975: Tropical cyclone intensity analysis and forecasting from satellite imagery. Mon. Wea. Rev., 103, 420-430.
104. Velden, C. S., J. Daniels, D. Stettner, D. Santek, J. Key, J. Dunion, K. Holmlund, G. Dengel, W. Bresky, and P. Menzel, 2005: Recent innovations in deriving tropospheric winds from meteorological satellites. Bull. Amer. Meteor. Soc., 86, 205-223.
105. Velden, C., B. Harper, F. Wells, J. L. I. Beven, R. Zehr, T. Olander, M. Mayfield, C. Guard, M. Lander, R. Edson, L. Avila, A. Burton, M. Turk, A. Kikuchi, A. Christian, P. Caroff, and P. McCrone, 2006: The Dvorak tropical cyclone intensity estimation technique: A satellite-based method that has endured for over 30 years. Bull. Amer. Meteor. Soc., 87, 1195-1210.
106. Olander, T. L., C. S. Velden, 2007: The Advanced Dvorak Technique: Continued development of an objective scheme to estimate tropical cyclone intensity using geostationary infrared satellite imagery. Wea. Forecasting, 22, 287-298.
107. Knaff, J. A., S. A. Seseske, M. DeMaria, and J. L. Demuth, 2004: On the influences of vertical wind shear on symmetric tropical cyclone structure derived from AMSU. Mon. Wea. Rev., 132, 2503-2510.
108. Wimmers, A. J., C. S. Velden, 2007: MIMIC: A new approach to visualizing satellite microwave imagery of tropical cyclones. Bull. Amer. Meteor. Soc., 88, 1187-1196.
109. Willoughby, H. E., 1990: Temporal changes of the primary circulation in tropical cyclones. J. Atmos. Sci., 47, 242-264.
110. Hawkins, J. D., M. Helveston, T. F. Lee, F. J. Turk, K. Richardson, C. Sampson, J. Kent, and R. Wade, 2006: Tropical cyclone multiple eyewall characteristics. Proc. Preprints, 26th Conference on Hurricanes and Tropical Meteorology, Monterrey, CA, Amer. Meteor. Soc., http://ams.confex.com/ams/pdfpapers/108864.pdf.
111. Weissman, D. E., M. A. Bourassa, and J. Tongue, 2002: Effects of rain rate and wind magnitude on SeaWinds scatterometer wind speed errors. J. Atmos. Ocean. Tech., 19, 738-746.
112. Kossin, J. P., J. A. Knaff, H. I. Berger, D. C. Herndon, T. A. Cram, C. S. Velden, R. J. Murnane, and J. D. Hawkins, 2007: Estimating hurricane wind structure in the absence of aircraft reconnaissance. Wea. Forecasting, 22, 89-101.
113. Weatherford, C. L., W. M. Gray, 1988: Typhoon structure as revealed by aircraft reconnaissance. Part I: Data analysis and climatology. Mon. Wea. Rev., 116, 1032-1043.
114. Kossin, J. P., W. H. Schubert, and M. T. Montgomery, 2000: Unstable interactions between a hurricane’s primary eyewall and a secondary ring of enhanced vorticity. J. Atmos. Sci., 57, 3893-3917.
115. Montgomery, M. T., V. A. Vladimirov, and P. V. Denissenko, 2002: An experimental study on hurricane mesovortices. J. Fluid. Mech., 471, 1-32.
116. Persing, J., M. T. Montgomery, 2003: Hurricane superintensity. J. Atmos. Sci., 60, 2349-2371.
117. Montgomery, M. T., M. M. Bell, S. D. Aberson, and M. L. Black, 2006: Hurricane Isabel, 2003: New insights into the physics of intense storms. Part I: Mean vortex structure and maximum intensity estimates. Bull. Amer. Meteor. Soc., 87, 1335-1347.
118. Kossin, J. P., W. H. Schubert, 2001: Mesovortices, polygonal flow patterns, and rapid pressure falls in hurricane-like vortices. J. Atmos. Sci., 58, 2196–2209.
119. Schubert, W. H., M. T. Montgomery, R. K. Taft, T. A. Guinn, S. R. Fulton, J. P. Kossin, and J. P. Edwards, 1999: Polygonal Eeyewalls, asymmetric eye contraction, and potential vorticity mixing in hurricanes. J. Atmos. Sci., 56, 1197-1223.
120. Möller, J. D., M. T. Montgomery, 1999: Vortex Rossby waves and hurricane intensification in a barotropic model. J. Atmos. Sci., 56, 1674-1687.
121. Enagonio, J., M. T. Montgomery, 2001: Tropical cyclogenesis via convectively forced vortex Rossby waves in a shallow water primitive equation model. J. Atmos. Sci., 58, 685-706.
122. Klein, P. M., P. A. Harr, and R. L. Elsberry, 2000: Extratropical transition of western North Pacific tropical cyclones: An overview and conceptual model of the transformation stage. Wea. Forecasting, 15, 373–395.
123. Bowyer, P. J., A. W. MacAfee, 2005: The theory of trapped-fetch waves in tropical cyclones – An operational perspective. Wea. Forecasting, 20, 229–244.
124. Hart, R. E., J. L. Evans, 2001: A climatology of the extratropical transition of Atlantic tropical cyclones. J. Climate, 14, 546–564.
125. Röbcke, M., S. C. Jones, and D. Majewski, 2004: The extratropical transition of Hurricane Erin (2001): a potential vorticity perspective. Meteorologische Zeitschrift, 13, 511-525.
126. Ritchie, E. A., R. L. Elsberry, 2001: Simulations of the transformation stage of the extratropical transition of tropical cyclones. Mon. Wea. Rev., 129, 1462-1480.
127. Pierce, C., 1939: The meteorological history of the New England hurricane of Sept. 21, 1938. Mon. Wea. Rev., 67, 237–288.
128. Sekioka, M., 1956: A hypothesis on complex of tropical and extratropical cyclones for typhoon in the middle latitudes. I. Synoptic structure of Typhoon Marie passing over the Japan Sea. J. Meteor. Soc. Japan, 34, 276–287.
129. Sekioka, M., 1956: A hypothesis on complex of tropical and extratropical cyclones for typhoon in the middle latitudes. II. Synoptic structure of Typhoons Louise, Kezia, and Jane passing over the Japan Sea. J. Meteor. Soc. Japan, 34, 336–345.
130. Palmén, E., 1958: Vertical circulation and release of kinetic energy during the development of Hurricane Hazel into an extratropica storm. Tellus, 10, 1-23.
131. Jones, S. C., P. A. Harr, J. Abraham, L. F. Bosart, P. J. Bowyer, J. L. Evans, D. E. Hanley, B. N. Hanstrum, R. E. Hart, and F. Lalaurette, 2003: The extratropical transition of tropical dyclones: Forecast challenges, current understanding, and future directions. Wea. Forecasting, 18, 1052-1092.
132. Hart, R. E., J. L. Evans, and C. Evans, 2007: Synoptic composites of the extratropical transition life cycle of north Atlantic tropical cyclones: Factors determining posttransition evolution. Mon. Wea. Rev., 134, 553–578.
133. Sinclair, M. R., 2002: Extratropical transition of southwest Pacific tropical cyclones. Part I: Climatology and mean structure changes. Mon. Wea. Rev., 130, 590–609.
134. Harr, P. A., R. L. Elsberry, 2000: Extratropical transition of tropical cyclones over the western north Pacific. Part I: Evolution of structural characteristics during the transition process. Mon. Wea. Rev., 128, 2613–2633.
135. Foley, G. R., B. N. Hanstrum, 1994: The capture of tropical cyclones by cold fronts off the west coast of Australia. Wea. Forecasting, 9, 577–592.
136. Arnott, J. M., J. L. Evans, and F. Chiaromonte, 2004: Characterization of extratropical transition using cluster analysis. Mon. Wea. Rev., 132, 2916–2937.
137. McTaggart-Cowan, R., L. F. Bosart, J. R. Gyakum, and E. H. Atallah, 2006: Hurricane Juan (2003). Part II: Forecasting and numerical simulation. Mon. Wea. Rev., 134, 1748–1771.
138. Klein, P. M., P. A. Harr, and R. L. Elsberry, 2002: Extratropical transition of western north Pacific tropical cyclones: Midlatitude and tropical cyclone contributions to reintensification. Mon. Wea. Rev., 130, 2240–2259.
139. Simpson, J., C. Kummerow, W. K. Tao, and R. F. Adler, 1996: On the Tropical Rainfall Measuring Mission (TRMM). Meteor. Atmos. Phys, 60, 19-36.
140. Madden, R. A., P. R. Julian, 1994: Observations of the 40–50-day tropical oscillation – A review. Mon. Wea. Rev., 122, 814–837.
141. Maloney, E. D., D. L. Hartmann, 1998: Frictional moisture convergence in a composite life cycle of the Madden–Julian Oscillation. J. Climate, 11, 2387-2403.
142. Maloney, E. D., D. L. Hartmann, 2000: Modulation of hurricane activity in the Gulf of Mexico by the Madden-Julian oscillation. Science, 287, 2002-2004.
143. Maloney, E. D., D. L. Hartmann, 2000: Modulation of eastern North Pacific hurricanes by the Madden–Julian oscillation. J. Climate, 13, 1451-1460.
144. Evans, J. L., F. A. Jaskiewicz, 2001: Satellite-based monitoring of intraseasonal variations in tropical Pacific and Atlantic convection. Geophys. Res. Lett., 28, 1511–1514.
145. Liebmann, B., H. H. Hendon, and J. D. Glick, 1994: The relationship between tropical cyclones of the western Pacific and Indian Oceans and the Madden–Julian oscillation. J. Meteor. Soc. Japan, 72, 401–411.
146. Aiyyer, A., J. Molinari, 2008: MJO and tropical cyclogenesis in the Gulf of Mexico and eastern Pacific: Case study and idealized numerical modeling. J. Atmos. Sci., 65, 2691-2704.
147. Molinari, J., D. Vollaro, 2000: Planetary-and synoptic-scale influences on eastern Pacific tropical cyclogenesis. Mon. Wea. Rev., 128, 3296-3307.
148. Maloney, E. D., D. L. Hartmann, 2001: The Madden–Julian oscillation, barotropic dynamics, and North Pacific tropical cyclone formation. Part I: Observations. J. Atmos. Sci., 58, 2545-2558.
149. Hartmann, D. L., H. H. Hendon, 2007: Atmospheric science: Resolving an atmospheric enigma. Science, 318, 1731-1732.
150. Ventrice, M. J., C. D. Thorncroft, and P. E. Roundy, 2011: The Madden Julian Oscillation's Influence on African Easterly Waves and Downstream Tropical Cyclogenesis. Mon. Wea. Rev., 139, 2704-2722.
151. Carlson, T. N., J. M. Prospero, 1972: The large-scale movement of Saharan air outbreaks over the northern equatorial Atlantic. J. Appl. Meteor., 11, 283-297.
152. Dunion, J. P., C. S. Velden, 2004: The impact of the Saharan air layer on Atlantic tropical cyclone activity. Bull. Amer. Meteorol. Soc., 85, 353-365.
153. Karyampudi, V. M., H. F. Pierce, 2002: Synoptic-scale influence of the Saharan air layer on tropical cyclogenesis over the eastern Atlantic. Mon. Wea. Rev., 130, 3100-3128.
154. Carlson, T. N., 1969: Some remarks on African disturbances and their progress over the tropical Atlantic. Mon. Wea. Rev., 97, 716-726.
155. Karyampudi, V. M., T. N. Carlson, 1988: Analysis and numerical simulations of the Saharan air layer and its effect on easterly wave disturbances. J. Atmos. Sci., 45, 3102-3136.
156. Pratt, A. S., 2005: Tropical cyclogenesis forecasting skill of the Global Forecasting System (GFS) during the 2002 and 2003 Atlantic hurricane seasons., Masters Thesis, Department of Meteorology, Pennsylvania State University, 135 pp.
157. Wu, L., 2007: Impact of Saharan air layer on hurricane peak intensity. Geophys. Res. Lett., 34, L09802.
158. Carlson, T. N., 1969: Synoptic histories of three African disturbances that developed into Atlantic hurricanes. Mon. Wea. Rev., 97, 256-276.
159. Landsea, C. W., 1993: A climatology of intense (or major) Atlantic hurricanes. Mon. Wea. Rev., 121, 1703-1713.
160. Klotzbach, P. J., W. M. Gray, 2006: Causes of the unusually destructive 2004 Atlantic basin hurricane season. Bull. Amer. Meteor. Soc., 87, 1325-1333.
161. Chan, J. C. L., J. Shi, and C. Lam, 1998: Seasonal forecasting of tropical cyclone activity over the western North Pacific and the South China Sea. Wea. Forecasting, 13, 997-1004.
162. Gray, W. M., 1984: Atlantic seasonal hurricane frequency. Part I: El Niño and the 30mb Quasi-Biennial Oscillation influences Mon. Wea. Rev., 112, 1649-1668.
163. Shapiro, L. J., 1982: Hurricane climatic fluctuations. Part I: Patterns and cycles. Mon. Wea. Rev., 110, 1007-1013.
164. Shapiro, L. J., 1982: Hurricane climatic fluctuations. Part II: Relation to large-scale circulation. Mon. Wea. Rev., 110, 1014-1023.
165. Chan, J. C. L., 1995: Tropical cyclone activity in the western North Pacific in relation to the stratospheric Quasi-Biennial Oscillation. Mon. Wea. Rev., 123, 2567–2571.
166. Gray, W. M., 1990: Strong association between West African rainfall and U.S. landfall of intense hurricanes. Science, 249, 1251-1256.
167. Landsea, C. W., W. M. Gray, 1992: The strong association between western Sahelian monsoon rainfall and intense Atlantic hurricanes. J. Climate, 5, 435-453.
168. Holland, G. J., P. J. Webster, 2007: Heightened tropical cyclone activity in the North Atlantic: natural variability or climate trend? Philosophical Transactions of the Royal Society A: Mathematical, Physical and Engineering Sciences, 365, 2695-2716.
169. Virmani, J. I., R. H. Weisberg, 2006: The 2005 hurricane season: An echo of the past or a harbinger of the future? Geophys. Res. Lett., 33, L05707.
170. Gray, W. M., 1984: Atlantic seasonal hurricane frequency. Part II: Forecasting its variability. Mon. Wea. Rev., 112, 1669-1683.
171. Gray, W. M., C. W. Landsea, Mielke Jr, P. W., and K. J. Berry, 1994: Predicting Atlantic basin seasonal tropical cyclone activity by 1 June. Wea. Forecasting, 9, 103-115.
172. Nicholls, N., 1979: A possible method for predicting seasonal tropical cyclone activity in the Australian region. Mon. Wea. Rev., 107, 1221-1224.
173. Nicholls, N., 1992: Recent performance of a method for forecasting Australian seasonal tropical cyclone activity. Aust. Meteor. Mag., 40, 105-110.
174. Landsea, C. W., G. D. Bell, W. M. Gray, and S. B. Goldenberg, 1998: The Extremely Active 1995 Atlantic Hurricane Season: Environmental conditions and verification of seasonal forecasts. Mon. Wea. Rev., 126, 1174-1193.
175. Liu, K. -., M. L. Fearn, 2000: Reconstruction of prehistoric landfall frequencies of catastrophic hurricanes in NW Florida from sediment records. Quat. Res., 54, 238–245.
176. Street-Perrott, F. A., R. A. Perrott, 1990: Abrupt climate fluctuations in the tropics: The influence of the Atlantic circulation. Nature, 343, 607-612.
177. Chan, J. C. -., Law, A. C. K., 1995: The interaction of binary vortices in a barotropic model. Meteor. Atmos. Phys, 56, 135–155.
178. Chan, J. C. L., 2008: Decadal variations of intense typhoon occurrence in the western North Pacific. Proc. Roy. Soc. London, 464A, 249–272.
179. Matsuura, T., M. Yumoto, and S. Iizuka, 2003: A mechanism of interdecadal variability of tropical cyclone activity over the western North Pacific. Clim. Dyn., 21, 105-117.
180. Bell, G. D., M. Chelliah, 2006: Leading tropical modes associated with interannual and multidecadal fluctuations in North Atlantic hurricane activity. J. Climate, 19, 590-612.
181. Xu, M., Q. Yang, Y. Duan, and M. Ying, 2006: Temporal Variance of Typhoon Disasters in Recent Six Centuries in Shanghai and Preventing, Mitigating Strategies. Proc. 27th AMS Conference on Hurricanes and Tropical Meteorology, Monterey, CA, American Meteorological Society.
182. Können, G. P., M. Zaiki, Baede, A. P. M., T. Mikami, P. D. Jones, and T. Tsukuhara, 2003: Pre-1872 extension of the Japanese instrumental meteorological observation series back to 1819. J. Climate, 16, 118–131.
183. Allan, R. J., 2000: ENSO and climatic variability in the past 150 years. El Niño and the Southern Oscillation: Multiscale Variability and Its Impacts on Natural Ecosystems and Society, H. F. Diaz and V. Markgraf, Eds., Cambridge University Press, 3-55.
184. Allan, R., T. Ansell, 2006: A new globally complete monthly historical gridded mean sealevel pressure dataset (HadSLP2): 1850–2004. J. Climate, 19, 5816-5842.
185. Kleeman, R., J. P. McCreary Jr, and B. A. Klinger, 1999: A mechanism for generating ENSO decadal variability. Geophys. Res. Lett., , 26 1743–1746.
186. McPhaden, M. J., D. Zhang, 2002: Slowdown of the meridional overturning circulation in the upper Pacific Ocean. Nature, 415, 603–608.
187. Broecker, W. S., 1991: The great ocean conveyor. Oceanography, 4, 79-89.
188. Lamb, P. J., 1978: Large-scale tropical Atlantic surface circulation patterns associated with sub-Saharan weather anomalies. Tellus, 30, 240-251.
189. Goldenberg, S. B., L. J. Shapiro, 1996: Physical mechanisms for the association of El Niño and west African rainfall with Atlantic major hurricane activity. J. Climate, 9, 1169-1187.
190. Avila, L. A., 1991: Atlantic tropical systems of 1990. Mon. Wea. Rev., 119, 2027-2033.
191. Folland, C. K., T. N. Palmer, and D. E. Parker, 1986: Sahel rainfall and worldwide sea temperatures, 1901–85. Nature, 320, 602-607.
192. Knight, J. R., R. J. Allan, C. K. Folland, M. Vellinga, and M. E. Mann, 2005: A signature of persistent natural thermohaline circulation cycles in observed climate. Geophys. Res. Lett., 32, L20708.
193. Mann, M. E., K. A. Emanuel, 2006: Atlantic hurricane trends linked to climate change. Eos Trans. AGU, 87, 233,238,241.
194. Kossin, J. P., K. R. Knapp, D. J. Vimont, R. J. Murnane, and B. A. Harper, 2007: A globally consistent reanalysis of hurricane variability and trends. Geophys. Res. Lett., 34, L04815.
195. Camargo, S. J., A. G. Barnston, P. J. Klotzbach, and C. W. Landsea, 2007: Seasonal tropical cyclone forecasts. WMO Bulletin, 56, 1-14.
196. Knaff, J. A., 1997: Implications of summertime sea level pressure anomalies in the tropical Atlantic region. J. Climate, 10, 789-804.
197. Ballester, M., C. González, and R. Pérez Suárez, 2004: Modelo estadístico para el pronóstico de la actividad ciclónica en el Océano Atlántico, el Golfo de México y el Mar Caribe. 11, 9.
198. Klotzbach, P. J., W. M. Gray, 2004: Updated 6–11-month prediction of Atlantic basin seasonal hurricane activity. Wea. Forecasting, 19, 917-934.
199. Vitart, F. D., 2006: Seasonal forecasting of tropical storm frequency using a multi-model ensemble. Quart. J. Roy. Meteor. Soc., 132, 647-666.
200. Lea, A. S., M. A. Saunders, 2006: How well forecast were the 2004 and 2005 Atlantic and US hurricane seasons? Weather, 61, 245-249.
201. Owens, B. F., C. W. Landsea, 2003: Assessing the skill of operational Atlantic seasonal tropical cyclone forecasts. Wea. Forecasting, 18, 45-54.
202. Fujiwhara, S., 1921: The natural tendency towards symmetry of motion and its application as a principle of meteorology. Quart. J. Roy. Meteor. Soc., 47, 287-293.
203. Helmholtz, H., 1867: On integrals of the hydrodynamical equations which express vortex motion. Philos. Mag., 33, 485-512.
204. Kasahara, A., 1957: The numerical prediction of hurricane movement with a barotropic model. J. Meteor., 14, 386-402.
205. Kasahara, A., 1960: The numerical prediction of hurricane movement with a two-level baroclinic model. J. Meteor., 17, 357-370.
206. Fiorino, M., R. L. Elsberry, 1989: Contributions to tropical cyclone motion by small, medium and large scales in the initial vortex. Mon. Wea. Rev., 117, 721-727.
207. Velden, C. S., L. M. Leslie, 1991: The basic relationship between tropical cyclone intensity and the depth of the environmental steering layer in the Australian region. Wea. Forecasting, 6, 244-253.
208. Adem, J., 1956: A series solution for the barotropic vorticity equation and its application in the study of atmospheric vortices. Tellus, 8, 364-372.
209. Adem, J., P. Lezama, 1960: On the motion of a cyclone embedded in a uniform flow. Tellus, 12, 255–258.
210. Fiorino, M., R. L. Elsberry, 1989: Some aspects of vortex structure related to tropical cyclone motion. J. Atmos. Sci., 46, 975–990.
211. Madala, R. V., A. A. Piacsek, 1975: Numerical simulation of asymmetric hurricane on a beta-plane with vertical shear. Tellus, 27, 453–468.
212. Evans, J. L., G. J. Holland, and R. L. Elsberry, 1991: Interactions between a barotropic vortex and an idealized subtropical ridge. Part I: Vortex motion. J. Atmos. Sci., 48, 301–314.
213. Holland, G. J., J. L. Evans, 1992: Interactions between a barotropic vortex and an idealized subtropical ridge. Part II: Structure Changes. J. Atmos. Sci., 49, 963–975.
214. Dong, K., C. J. Neumann, 1986: On the relative motion of binary tropical cyclones. Mon. Wea. Rev., 111, 945–953.
215. Liu, K. S., Chan, J. C. L., 1999: Size of tropical cyclones as inferred from ERS-1 and ERS-2 data. Mon. Wea. Rev., 127, 2992–3001.
216. Lander, M., G. J. Holland, 1993: On the interaction of tropical-cyclone-scale vortices. I: Observations. Quart. J. Roy. Meteor. Soc., 119, 1347–1361.
217. Jones, S. C., 2000: The evolution of vortices in vertical shear. II: Large-scale asymmetries. Quart. J. Roy. Meteor. Soc., 126, 3137-3159.
218. Shapiro, L. J., 1996: The motion of Hurricane Gloria: A potential vorticity diagnosis. Mon. Wea. Rev., 124, 2497–2508.
219. Simpson, R. H., H. Riehl, 1981: The Hurricane and Its Impact. 398 pp.
220. Simpson, R., R. A. Anthes, and M. Garstang, Eds., 2002: Hurricane! Coping with disaster: Progress and challenges since Galveston. American Geophysical Union (AGU), 360 pp.
221. Pielke, R. A., Jr., R. A. S. Pielke, 1997: Hurricanes: Their nature and impacts on society. John Wiley and Sons, England, 279 pp.
222. Pielke Jr, R. A., J. Gratz, C. W. Landsea, D. Collins, M. A. Saunders, and R. Musulin, 2007: Normalized hurricane damages in the United States: 1900-2005. Nat. Hazards Rev., 9, 19–12.
223. Rappaport, E. N., J. Fernández-Partagás, 1995: The deadliest Atlantic tropical cyclones, 1492-1994. NWS NHC-47, 41.
224. Liu, K.-., M. L. Fearn, 1993: Lake-sediment record of late Holocene hurricane activities from coastal Alabama. Geology, 21, 793–796.
225. International Federation of Red Cross And Red Crescent Societies, 2008: Bangladesh: Cyclone Sidr Appeal No. MDRBD003 Operations Update No. 8. [Available at http://www.reliefweb.int/rw/RWB.NSF/db900SID/EDIS-7BHM45?OpenDocument&rc=3&emid=TC-2007-000208-BGD, accessed 7 Aug 2008].
226. Spratt, S. M., D. W. Sharp, P. Welsh, A. Sandrik, F. Alsheimer, and C. Paxton, 1997: A WSR-88D assessment of tropical cyclone outer rainband tornadoes. Wea. Forecasting, 12, 479–501.
227. Willoughby, H. E., P. G. Black, 1996: Hurricane Andrew in Florida: Dynamics of a disaster. Bull. Amer. Meteor. Soc., 77, 543–549.
228. Verbout, S. M., D. M. Schultz, L. M. Leslie, H. E. Brooks, D. Karoly, and K. Elmore, 2007: Tornado outbreaks associated with landfalling hurricanes in the North Atlantic basin: 1954-2004. Meteor. Atmos. Phys., 97, 255–271.
229. Samsury, C. E., R. E. Orville, 1994: Cloud-to-ground lightning in tropical cyclones: A study of Hurricanes Hugo (1989) and Jerry (1989). Mon. Wea. Rev., 122, 1887–1896.
230. Molinari, J., P. K. Moore, V. P. Idone, R. W. Henderson, and A. B. Saljoughy, 1994: Cloud-to-ground lightning in Hurricane Andrew. J. Geophys. Res., 99 (D8), 16665–16676.
231. Cecil, D. J., E. J. Zipser, and S. W. Nesbitt, 2002: Reflectivity, ice scattering, and lightning characteristics of hurricane eyewalls and rainbands. Part I: quantitative description. Mon. Wea. Rev., 130, 769–784.
232. United Nations,Office for the Coordination of Humanitarian Affairs (OCHA), 2007: Bangladesh: Cyclone SIDR OCHA Situation Report No. 8. [Available online at http://www.reliefweb.int/rw/RWB.NSF/db900SID/YSAR-799NYQ?OpenDocument].
233. Rappaport, E. N., 2000: Loss of life in the United States associated with recent Atlantic tropical cyclones. Bull. Amer. Meteor. Soc., 81, 2065–2073.
234. Sorensen, J., 2000: Hazard warning systems: Review of 20 years of progress. Nat. Hazards Rev., 1, 120–125.

A

Absolute angular momentum
For the atmosphere, the absolute angular momentum, per unit mass of air, is the sum of the angular momentum relative to the earth and the angular momentum due to the rotation of the earth.
Absolute vorticity
See Vorticity.
Absorber
Anything that retains incident electromagnetic radiation due its physical composition.
Absorption
The process by which incident radiant energy is retained by a material due to the material's physical composition.
Absorption band
A portion of the electromagnetic spectrum where radiation is absorbed and emitted by atmospheric gases such as water vapor, carbon dioxide, and ozone.
African easterly wave
A trough or cyclonic curvature maximum in the trade-wind easterlies. The wave may reach maximum amplitude in the lower middle troposphere.
Aggregation
The clumping together of ice crystals after they collide.
Anomaly
The deviation of a quantity over a specified period from the normal value for the same region. For example, El Niño is identified by sea surface temperature anomalies.
Atlantic Multidecadal Oscillation (AMO)
A natural oscillation of the North Atlantic SST between warm and cool phases. The SST difference between these warm and cool phases is about 0.5°C and the period of the oscillation is roughly 20-40 years (the period is variable, but is a few decades long). Evidence suggests that the AMO has been active for at least the last 1,000 years.
Attenuation
Any process in which the intensity of radiation decreases due to scattering or absorption.
Atmospheric Window
A portion of the electromagnetic spectrum where radiation passes through the atmosphere without absorption by atmospheric gases such as water vapor, carbon dioxide, and ozone.
Available potential energy (APE)
The portion of the total potential energy available for adiabatic conversion to kinetic energy. The total potential energy is a combination of the APE and the potential energy representing the mass distribution needed to balance the mean atmospheric motions.

Top of Page

B

Backscatter
That portion of radiation scattered back toward the source.
Baroclinic
Dependence on the horizontal temperature contrast between warm and cold air masses., In a baroclinic atmosphere, the geostrophic wind varies with height in direction as well as speed and its shear is a function of the horizontal temperature gradient (the thermal wind equation).
Barotropic
The atmosphere has the same horizontal structure at all levels in the vertical. This is equivalent to the absence of horizontal temperature gradients.
Barotropic-Baroclinic Instability
Barotropic and baroclinic instability analyses are used to explain the growth of a small perturbation to the flow. A perturbation growing due to baroclinic instability draws its energy from the available potential energy (APE). A perturbation growing due to barotropic instability draws its energy from the kinetic energy of the background flow. A perturbation growing through both APE and mean kinetic energy conversion to kinetic energy of the growing system (intensifying the system) is developing through combined barotropic baroclinic instability.
Best track
As defined by the National Hurricane Center, it is a subjectively-smoothed representation of a tropical cyclone's location and intensity over its lifetime. The best track contains the cyclone's latitude, longitude, maximum sustained surface winds, and minimum sea-level pressure at 6-hourly intervals. Best track positions and intensities, which are based on a post-storm assessment of all available data, may differ from values contained in storm advisories. They also generally will not reflect the erratic motion implied by connecting individual center positions fixed during operations.
Beta (β) effect
Denotes how fluid motion is affected by spatial changes of the Coriolis parameter, for example, due to the earth's curvature. The term takes its name from the symbol β representing the meridional gradient of the Coriolis parameter at a fixed latitude. The asymmetric flows resulting from the interaction of the vortex with the changing Coriolis parameter is known as the β-gyres.
Beta (β) plane
An approximation of the Coriolis parameter in which f = f0 + βy, where β is a constant. The Coriolis parameter is assumed to vary linearly in the north-south direction. The term takes its name from the symbol β representing the meridional gradient of the Coriolis parameter at a fixed latitude.
Blackbody
An object that absorbs all incident radiation and emits the maximum amount of energy at all wavelengths.
Blended precipitation estimate
An estimate that is derived by combining low earth-orbiting microwave measurements, which have high resolution but low frequency, with the more frequently available geostationary IR.
Bow echo
An organized mesoscale convective system, so named because of its characteristic bow shape on radar reflectivity displays. Bow echoes are typically 20–200 km long and last for 3–6 hours. They are associated with severe weather, especially high, straight-line surface winds, which are the result of a strong rear-inflow jet descending to the surface.
Brightness temperature
The Planck temperature associated with the radiance for a given wavelength.

Top of Page

C

Center
Location of the vertical axis of a tropical cyclone, usually defined by the location of minimum wind or minimum pressure. The cyclone center position can vary with altitude.
Cloud track winds
Winds derived from tracking movement of cloud elements using IR and water vapor images from geostationary satellites.
Conditional Instability of the Second Kind (CISK)
A theory for tropical cyclone development that relates boundary layer moisture convergence (driven by Ekman pumping) to the potential for tropical cyclone intensification. As the storm intensifies, the moisture convergence must increase, providing a feedback to the system. As with WISHE, CISK relies on the presence of an incipient disturbance.
Coordinated Universal Time (UTC)
Same as Zulu (Z) and Greenwich Mean Time (GMT).
Coriolis parameter, f
A measure that is twice the local vertical component of the angular velocity of a spherical planet, 2Ω sinφ, where Ω is the angular speed of the planet and φ is the latitude.
Cyclogenesis
The formation of a cyclone.
Cyclone
An closed circulation of low pressure, rotating counter-clockwise in the Northern Hemisphere and clockwise in the SH.
Cyclone Phase Space (CPS)
A concise, three-parameter summary of the structure of a storm. It can be used to describe the structure of any synoptic or meso-synoptic cyclone.

Top of Page

D

Deposition
The process by which molecules are changed from the vapor phase directly to the solid phase, such as from water vapor to ice.
Doppler Effect
The apparent shift in the frequency and wavelength of a wave perceived by an observer moving relative to the source of the wave.
Doppler radar
Radar that uses the Doppler effect to detect radial velocity of targets based on the phase shift between the transmitted pulse and the received backscatter.
Dvorak Technique
a classification scheme for estimating the intensity of TCs from enhanced IR and visible satellite imagery. It is the primary method of estimating intensity everywhere, except the North Atlantic and North Pacific where aircraft reconnaissance is routine.

Top of Page

E

Eddy angular momentum flux (EAMF)
Flux (net transport) of angular momentum into a circle centered on the storm. If EAMF is positive, the flow inside the circle will become more cyclonic; negative EAMF render the system less cyclonic (more anticyclonic). See Box 8-6 for a definition and discussion of angular momentum in tropical cyclones.
Ekman layer
Thin horizontal layer of water at top of the ocean that is affected by wind.  That layer has a force balance between pressure gradient force, Coriolis force and frictional drag.
Ekman pumping
The force balance determining the vector wind is modified by friction at the Earth's surface. The addition of friction changes the force balance to slow the winds and change their direction: winds now flow into a low and out of a high pressure system. Winds flowing into a low because of friction are forced upwards and out of the boundary layer. This process is known as Ekman pumping.
El Niño-Southern Oscillation (ENSO)
An oscillation of the ocean-atmosphere system in the tropical Pacific which affects global  weather and climate. El Niño, the warm phase of ENSO, is a quasi-periodic (2-7 years) warming of ocean surface waters in the equatorial and eastern tropical Pacific and an eastward shift in convection from the western Pacific climatological maximum. Changes occur in the tropical trade easterlies, vertical wind shear,  and ocean height. Cool ocean temperature anomalies are observed in the tropical western Pacific extending eastward into the subtropics of both hemispheres. "La Niña" refers to the less intense, anomalous  cool phase of ENSO. The Southern Oscillation refers to the atmospheric pressure difference between Darwin and Tahiti that is correlated with El Niño.
Electromagnetic (EM)
Energy carried by electric and magnetic waves.
Emission
The process by which a material generates electromagnetic radiation due to its temperature and composition.
Emissivity
The emitting efficiency of an object compared to an ideal emitter (or blackbody). A blackbody has an emissivity of one.
Emitter
Anything that radiates measurable electromagnetic radiation.
Empirical Orthogonal Function (EOF)
See Principal Component Analysis.
Energy
The capacity to do work or transfer heat. Measured in SI units as Joules.
Entrainment
The integration of unsaturated environmental air into the turbulent cloud-scale circulation. The antonym of entrainment is detrainment.
Explosive Deepening
A decrease in the minimum sea-level pressure of a tropical cyclone of 2.5 hPa hr-1 for at least 12 hours or 5 hPa hr-1 for at least six hours.
Extratropical

A term used to indicate that a cyclone has lost its “tropical” characteristics. The term implies both poleward displacement of the cyclone and the conversion of the cyclone’s primary energy source from the release of latent heat of condensation to baroclinic processes.

It is important to note that cyclones can become extratropical and still retain winds of hurricane or tropical storm force. Given that these dangerous winds can persist after the cyclone is classified as extratropical, the Canadian Hurricane Centre (for example) follows them as “Former hurricane XXX.”

Extratropical Transition (ET)
The evolution of a poleward-moving initially tropical cyclone resulting in an extratropical cyclone. In the process of this evolution the energy source of the storm shifts from latent heat release to baroclinic development.
Eye (of tropical cyclone)
The approximately circular area of light winds at the center of a tropical cyclone. It is surrounded entirely or partially by clouds in the eyewall.
Eyewall / Wall Cloud
The full or partial ring of thunderstorms that surround the eye of a tropical cyclone. The strongest sustained winds in a tropical cyclone occur in the eyewall.

Top of Page

F

Field of View (FOV)
Generally associated with the ground resolution from the detector standard viewing location, field of view is the solid angle through which a detector observes radiation.
Fraction of Photosynthetically Active Radiation (FPAR)
An index that measures how much sunlight the leaves are absorbing.
Frequency
The number of recurrences of a periodic phenomenon per unit time. The frequency, v, of electromagnetic energy is usually specified in Hertz (Hz), which represents one cycle per second.
Fujiwhara Effect
The mutual advection of two or more nearby tropical cyclones about each other. This results in cyclonic rotation of the storms about each other.

Top of Page

G

Gale Force Wind
A sustained surface wind in the range 17 m s-1 (39 mph, 63 km hr‑1 or 34 knot) to 24 m s-1 (54 mph, 87 km hr‑1 or 47 knot) inclusive, and not directly associated with a tropical cyclone.
Geostationary or Geosynchronous orbit
An orbit whose rotation period equals that of the Earth. The altitude of a geostationary orbit is approximately 35,800 km. Its orbit keeps it above a single point on the equator.
GOES
Geostationary Operational Environmental Satellite (operated by NOAA).
GOES Precipitation Index
An estimate of precipitation that uses 235K as the IR temperature with the best correlation to average precipitation for areas spanning 50-250 km over 3-24 hours.
GPS
Global Positioning System, a network of defense satellites established in 1993. Each satellite broadcasts a digital radio signal that includes its own position and the time, accurate to one billionth of a second. GPS receivers use the signals to calculate their position to with a few hundred feet.
GPS radio occultation
The technique by which satellite receivers intercept signals from GPS and infer the deviations in the signal's path caused by temperature and moisture gradients.
Gravity waves
Oscillations usually of high frequency and short horizontal scale, relative to synoptic- scale motions, which arise in a stably stratified fluid when parcels are displaced vertically. Gravity is the restoring force.
Greenwich Mean Time (GMT)
Mean solar time of the meridian at Greenwich, England, used as the basis for standard time throughout most of the world. Also referred to as Zulu (Z) and Coordinated Universal Time (UTC).

Top of Page

H

Hadley Cells
Circulation cells in which air rises in the ITCZ, sinks into the subtropical highs, and returns to the equatorial low along the trade winds. George Hadley proposed a model (1735) of the global atmospheric circulation with rising motion at the equator, where there is surplus heating, and sinking motion at the poles, where there is net cooling. Hadley's model did not account for the Coriolis effect, which leads to average westerly motion in the mid-latitudes. The Hadley model does explain the circulation within 30 degrees of the equator.
Horizontal Convective Rolls
Lines of overturning motion with axes parallel to the local surface. These rolls result from a convective instability (high density over low density – often corresponding to cool air over warm) and can mix strong winds from above down towards the surface.
Hurricane
A tropical cyclone in which the maximum sustained surface wind (using the local time averaging convention) is at least 33 m s-1 (74 mph, 119 km hr-1 or 64 knot). The term "hurricane" is used for in the Northern Atlantic and Northeast Pacific; "tropical cyclone" east of the International Dateline to the Greenwich Meridian; and "typhoon" in the Pacific north of the Equator and west of the International Dateline.

Top of Page

I

Inertial period
The time taken to complete one rotation. In the tropical cyclone this is calculated by dividing the circumference at the radius of interest (commonly, the radius of maximum winds) by the wind speed at that radius.
Infrared (IR)
Electromagnetic energy within the wavelength interval generally defined from 0.7 to 100 microns.
Irradiance
The energy per unit time incident upon a unit area of a given surface, measured in SI units as Wattsm-2.
Insolation
The incoming solar radiation that reaches the earth and its atmosphere.
Intensity
The peak sustained surface wind in the region immediately surrounding the storm center, or the minimum central pressure measured in the eye.
Intertropical Convergence Zone (ITCZ)
The zone where the northeast and southeast trade winds converge. It is marked by low pressure, rising motion, and thunderstorms, which occur with strong surface heating. Its latitudinal position shifts in response to the solar maximum and heating response of the surface. It is recognized in satellite images as a band of thunderstorms across the tropics. It is often, but not always, co-located with the zone of low pressure known as the "Equatorial Trough".
Intraseasonal
Varying on time scales shorter than one season.

Top of Page

J

Joule
SI unit of energy equal to 0.2389 calories.

Top of Page

K

Kelvin waves
At the equator, eastward propagating waves with negligible meridional velocity component and Gaussian latitudinal structure in zonal velocity, geopotential, and temperature, symmetric about the equator.

Top of Page

L

Landfall
The intersection of the surface center of a tropical cyclone with a coastline. Because the strongest winds in a tropical cyclone are not located precisely at the center, it is possible for the strongest winds to be experienced over land even if landfall does not occur.
Leaf Area Index (LAI)
The ratio of green leaf area to the total surface area occupied by vegetation.
Longwave (LW)
Electromagnetic energy lying in the wavelength interval generally defined from 4.0 microns to an indefinite upper limit.
Low earth orbit (LEO)
An orbit that is located at an altitude generally between 200 and 1000 km.
Low earth orbit satellite
A satellite that has a low earth orbit. Most have paths crossing the poles and can provide synchronous observations (e.g., the NOAA series or Defense Meteorological Satellite Program systems). The TRMM is an LEO satellite that orbits between ±35º latitude.

Top of Page

M

Madden-Julian Oscillation (MJO)
Tropical rainfall exhibits strong variability on time scales shorter than the seasonal. These fluctuations in tropical rainfall often undergo a 30-60 day cycle that is referred to as the Madden-Julian Oscillation or intraseasonal oscillation. The MJO is a naturally occurring component of the Earth's coupled ocean-atmosphere system that significantly affects the atmospheric circulation throughout the global tropics and subtropics.
Maritime Continent
The region of Southeast Asia that comprises many islands, peninsulas, and shallow seas (including countries such as Indonesia, Malaysia, Papua New Guinea, and the Phillipines and covers approximately 12°S to 8°N, 95°E to 150°E).
Meridional
North-south, crossing latitudes; by convention the meridional wind from the south is positive.
Mesoscale
Spatial scale of 100-1000 km and temporal scale of hours to a day; between synoptic and convective scale. Tropical clouds are most often organized into mesoscale systems.
Mesoscale convective complex (MCC)
A large, quasi-circular mesoscale convective system that produces heavy rainfall and severe weather. In some MCCs, a mid-tropospheric vortex forms and remains after the deep convection has dissipated.
Mixed Rossby-Gravity (MRG) Wave
A divergent Rossby wave, resulting from conservation of potential vorticity and buoyancy forcing. These waves propagated westward along the equator. Meridional velocity is symmetric about the equator. Zonal wind, temperature, and geopotential area antisymmetric about the equator.
Monochromatic
Of or pertaining to a single wavelength, or in practice, perhaps a very narrow spectral interval.
Monsoon
A term whose roots are from the Arabic for "season", it is a seasonal wind reversal. The monsoon has inflow to a surface heat low and an offshore flow from high pressure during the winter when the land cools relative to the ocean. The Indian monsoon is the most prominent but it has been recognized that that monsoon region extends from Southeast Asia to West Africa. The summer monsoon is a vital source of moisture; its arrival, duration, and amount of precipitation modulates the economies of these regions.
Monsoon Gyre
A closed, symmetric circulation at 850 hPa with horizontal extent of 25° latitude that persists for at least two weeks. The circulation is accompanied by abundant convective precipitation around the south-southeast rim of the gyre.
Monsoon Region
Refers to the combination of features including a monsoon trough, confluence zone, and the ITCZ.

Top of Page

N

Nadir
The satellite viewing angle directly downward (viewing zenith angle = 0 degrees). Also used to refer to the sub-satellite point location.

Top of Page

0

Ocean conveyor belt
The name given to summarize the pattern of global ocean currents. The surface ocean currents generally transport warm salty water polewards, out of the tropics. The water cools as it moves polewards, becoming increasingly dense (remember that salty water is more dense than fresh water). This water sinks in the North Atlantic and also in the Southern Ocean near Antarctica. The deep water currents transport the water around the globe until it rises to the surface again, once more part of the surface ocean currents.
Opaque
A physical description of a material which attenuates electromagnetic radiation.
Optical depth
A measure of the cumulative attenuation of a beam of radiation as a result of its travel through the atmosphere.

Top of Page

P

Pacific Decadal Oscillation (PDO)
The PDO is a basin-scale pattern of Pacific climate variability; PDO climate anomalies are most visible in the North Pacific and North American regions, with secondary features in the tropics. The phases of the PDO persist for 20-to-30 years. Causes for the PDO have not yet been explained.
Planck's Law
An expression for the variation of monochromatic radiance as a function of wavelength for a blackbody at a given temperature.
Planetary Boundary Layer (PBL)
The layer of the atmosphere that extends upward from the surface to heights of 100 to 3000 m. The boundary layer is directly influenced by surface forcing such as friction, heating, and evapotranspiration.
Polar orbit
An orbit whose path crosses the polar regions. This type of orbit is located at an altitude generally between 200 and 1000 km, and can provide sun-synchronous observations.
Polar Orbiting Environmental Satellite (POES)
A satellite which has a polar orbit, such as the NOAA series or Defense Meteorological Satellite Program systems.
Potential evapotranspiration
A measure of the maximum possible water loss from an area under a specified set of weather conditions.
Potential Intensity (PI)
The largest possible intensity (maximum wind, minimum pressure) expected to be possible for a particular tropical cyclone.
Potential vorticity
A scalar measure of the balance between the vorticity and the thermal structure of the atmosphere.
Principal component analysis
A mathematical technique for identifying patterns in data by reducing multidimensional data to a smaller number of dimensions. A number of variables that are (possibly) correlated are transformed into a new coordinate system. The transformation identifies the components that account for variability in the data. The first principal component often accounts for the most of variability in the data. Also known as Empirical Orthogonal Function (EOF) analysis.

Top of Page

Q

Quasi-Biennial Oscillation (QBO)
An oscillation in the lower stratospheric zonal winds averaged around the equator. It is typically diagnosed from the zonal winds between 30-70 hPa (although it is evident as high as 10 hPa). The QBO has a varying from about 24 to 30 months. The zonal winds change by about 40 m s-1 between the maximum easterly and maximum westerly phase.

Top of Page

R

Radar (Radio Detection And Range)
An instrument that detects objects remotely by transmitting high-frequency pulses to the atmosphere and measuring the "backscatter" or echoed pulses from that object. Weather radar transmits microwave (mm-cm) pulses; the returned signal is interpreted to determine where it is precipitating.
Radiance
A measure of radiant intensity produced by a material in a given direction and per unit wavelength interval, measured in Watts/m 2 /steradian/micron. Monochromatic radiance is the most fundamental unit measured by satellite instruments.
Radiation
Energy transferred by electromagnetic waves.
Radius of Maximum Winds
The distance from the center of a tropical cyclone to the location of the cyclone's maximum winds. In well-developed systems, the radius of maximum winds is generally found at the inner edge of the eyewall.
Rapid Deepening
A decrease in the minimum sea-level pressure of a tropical cyclone of 1.75 hPa hr-1 or 42 hPa for 24 hours.
Recurvature
The poleward motion of a tropical cyclone taking it from the mean tropical easterlies to the midlatitudes westerlies. This change in the advection of the storm results in curvature in the storm track.
Reflection
The process by which incident radiation is scattered in the backward direction (backscattered).
Reflectivity
The fraction of incident radiation reflected by a material.
Relative vorticity
See Vorticity.
Remnant Low
Used for systems no longer having the sufficient convective organization required of a tropical cyclone (e.g., the swirls of stratocumulus in the eastern North Pacific).
Retrieval
The process or end result of a process where physical quantities such as water vapor, temperature, and/or pressure are extracted from measurements of total upwelling radiance to space; here involving the GOES sounder.
Riming
The formation of ice by the rapid freezing of supercooled water drops as they impinge upon an object such as an ice crystal or aeroplane wing.
Rossby Radius of Deformation
The Rossby radius is the critical scale at which rotation becomes as important as buoyancy, which allows an initial disturbance to be sustained. It is a function of the absolute vorticity, stability, and depth of the disturbance. When a disturbance is wider than LR, it will persist; systems that are smaller than LR will dissipate.
Rossby Wave
A planetary wave, resulting from conservation of potential vorticity. Gradients of potential vorticity provide a restoring mechanism to allow propagation of the waves. This text focuses on Rossby waves centered on the equator equatorial (n=1) Rossby waves.

Top of Page

S

Saffir-Simpson scale
A scale that links the observed damage and the effects of wind, pressure and storm surge that could lead to such damage. Initial wind damage scale was defined by Herbert Saffir and later expanded by Robert Simpson to include storm surge.
Scattering
The process by which a material interacts with and redirects incident radiation (in any given direction).
Scatterometer
A radar that infers near-surface wind velocity by sending pulses of microwave energy to the ocean surface and measuring the backscatter from small-scale waves. Scatterometry wind retrievals can be ambiguous during rain, since rain creates additional backscatter and attenuates the radar beam.
Shortwave (SW)
Electromagnetic radiation generally defined as having a wavelength shorter than 4.0 microns.
Size
The mean radius of a tropical cyclone enclose by winds of at least 17 m s-1. Size may also be defined as the outer closed isobar of the surface pressure.
Solar declination angle
The angle between the rays of the Sun and the equatorial plane of the Earth. It is zero during an equinox and 23.5° during a solstice.
Southern Oscillation Index (SOI)
The normalized difference in sea level pressure between Darwin, Australia and Tahiti, French Polynesia.
Specific humidity
The mass of water vapor per unit mass of air (including water vapor), usually denoted by q and measured in units of grams per kilograms.
Spectral
A descriptor for radiometric quantities or measurements which have a limited wavelength range.
Split window
A pair of regions of the electromagnetic spectrum which are closely located in wavelength, but have slightly different attenuation characteristics. Used to denote the 11- and 12-micron regions in which greater water vapor attenuation at 12 microns causes slightly different brightness temperatures.
Stefan-Boltzmann Law
The energy emitted per unit area (from all wavelengths and represented by the area under the blackbody curve) is proportional to the 4 th power of the absolute temperature
Steradian
The unit of measure of solid angles, equal to the angle subtended at the center of a sphere.
Storm Surge
An abnormal rise in sea level accompanying a tropical cyclone or other intense storm, and whose height is the difference between the observed level of the sea surface and the level that would have occurred in the absence of the cyclone. Storm surge is usually estimated by subtracting the normal or astronomic high tide from the observed storm tide.
Storm Tide
The actual level of sea water resulting from the astronomic tide combined with the storm surge.
Subtropical Cyclone

A non-frontal low pressure system that has characteristics of both tropical and extratropical cyclones.

The most common type is an upper-level cold low with circulation extending to the surface layer and maximum sustained winds generally occurring at a radius of about 100 miles or more from the center. In comparison to tropical cyclones, such systems have a relatively broad zone of maximum winds that is located farther from the center, and typically have a less symmetric wind field and distribution of convection.

A second type of subtropical cyclone is a mesoscale low originating in or near a frontolyzing (dying frontal) zone of horizontal wind shear, with radius of maximum sustained winds generally less than about 50 km (30 miles). The entire circulation may initially have a diameter less than 160 km (100 miles). These generally short-lived systems may be either cold core or warm core.

Subtropical Depression
A subtropical cyclone in which the maximum sustained surface wind speed does not exceed 17 m s-1 (39 mph, 63 km hr‑1 or 34 knot).
Subtropical Storm
A subtropical cyclone in which the maximum sustained surface wind speed is at least 17 m s-1 (39 mph, 63 km hr‑1 or 34 knot).
Synthetic Aperture Radar (SAR)
Works like other radars except that it has very fine resolution in the azimuthal direction. It synthesizes the fine resolution normally achieved with a large antenna by combining signals from an object along a radar flight track and processing the signals as if obtained simultaneously from a single large antenna. The distance over which the signals are collected is known as the synthetic aperture.

Top of Page

T

Trade Winds
Prevailing easterly winds flowing from the subtropical highs that affect equatorial and subtropical regions. Trade winds are mostly east to northeasterly in the Northern Hemisphere and east to southeasterly in the Southern Hemisphere. During the monsoon, easterly trades are replaced by mostly westerly winds.
Transmission
The process by which incident radiation propagates forward through a material.
Transpiration
The process by which water vapor enters the atmosphere through the stomata in the leaves of plants.
Thermocline
The inversion layer separating the near-surface warm waters from the colder, deeper layers of oceans and lakes.  It is about 1km deep and is thermally stratified. In the ocean, it also separates the fresher waters near the surface from the saltier waters below.
Tropical Cyclone
A warm-core non-frontal synoptic-scale cyclone, originating over tropical or subtropical waters, with organized deep convection and a closed surface wind circulation about a well-defined center. Once formed, a tropical cyclone is maintained by the extraction of heat energy from the ocean at high temperatures and heat export at the low temperatures of the upper troposphere. In this they differ from extratropical cyclones, which derive their energy from horizontal temperature contrasts in the atmosphere (baroclinic effects). Also see Hurricane.
Tropical Cyclone Season
The portion of the year having a relatively high incidence of tropical cyclones. Also known as "Hurricane Season" or "Typhoon Season".
Tropical Depression
A tropical cyclone in which the maximum sustained surface wind speed is not more than 17 ms-1 (39 mph, 63 km hr‑1 or 34 knot).
Tropical Disturbance
A discrete tropical weather system of apparently organized convection – generally 185 to 550 km (100-300 n mi) in diameter – originating in the tropics or subtropics, having a nonfrontal migratory character, and maintaining its identity for 24 hours or more. It may or may not be associated with a detectable perturbation of the wind field.
Tropical Storm
A tropical cyclone in which the maximum sustained surface wind speed ranges from 17 ms-1 (39 mph, 63 km hr‑1 or 34 knot) to 33 ms-1 (74 mph, 119 km hr-1, 64 knot).
Typhoon
See Tropical Cyclone and Hurricane.

Top of Page

U

Ultraviolet (UV)
Electromagnetic radiation of shorter wavelength than visible radiation but longer than x-rays (approximately 0.03 to 0.4 microns)

Top of Page

V

Visible
The region of the electromagnetic spectrum which is detectable to the human eye (approximately 0.4 to 0.7 microns).
Vorticity
The local rotation of the flow, calculated as the the curl (cross product) of the vector wind. Vorticity has units of inverse seconds (s-1).

“Relative vorticity” is the vorticity calculated for the observed winds. It is called “relative” since the winds are the flow relative to the Earth’s rotation.
The vertical component of the vorticity vector is most often used since it is much larger than the other vorticity components. This is because the horizontal winds in tropical cyclones are much greater than the vertical wind component.

“Absolute vorticity” is the vorticity calculated for the total motion of the atmosphere the combination of the observed winds and the Earth’s rotation.

Top of Page

W

Walker Circulation
The east-west circulation cells that form along the equator in response to differential surface heating.
Warning
A warning that sustained winds exceeding the threshold for either tropical storm or tropical cyclone and associated with such a storm are expected in a specified coastal area in 24 hours or less.
Watch
An announcement for specific coastal areas that either tropical storm or tropical cyclone conditions are possible within 36 hours.
Wavelength
The distance a wave will travel in the time required to generate 1 cycle, denoted by λ. A length measured from the midpoint of a crest (or trough) to the midpoint of the next crest (or trough).
Wavenumber
The reciprocal of the wavelength, denoted by κ.
Water Vapor Channel (or water vapor IR channel)
A spectral band in which the radiance is attenuated by water vapor. This usually refers to the 6.7 micron channel in this module.
Weighting function
A mathematical expression representing the relative radiance contribution provided from a given level of the atmosphere (usually a function of atmospheric pressure).
Wind-Induced Surface Heat Exchange (WISHE)
A tropical cyclone development theory based on a conceptual model of a tropical cyclone as an atmospheric Carnot engine. Consistent with its Carnot engine roots, WISHE relates (i) fluxes of heat and moisture from the ocean surface and (ii) the temperature of the tropical cyclone outflow layer to the potential for continued storm development. The fluxes increase with surface wind speed providing a feedback to the system. As with CISK, WISHE relies on the presence of an incipient disturbance.
Wind profiler
Vertically pointing radar which operates on the same principle as horizontally-scanning Doppler radar; provides best measurements of vertical air motion inside convective storms
Wien's Displacement Law
The wavelength of maximum blackbody emission is inversely proportional to its absolute temperature.

Top of Page

X

Top of Page

Y

Top of Page

Z

Zonal
East-west, crossing longitudes; by convention, the zonal wind from the west is positive.
Zulu (Z)
Used to represent the same clocktime at GMT and UTC. See Greenwich Mean Time (GMT), or Coordinated Universal Time (UTC)

Top of Page